Difference between revisions of "Herleitungsaufgaben"

(Created page with "<p>Bei Herleitungsaufgaben (nur im 2D-Format) besteht das Ziel darin, die Lösung ausgehend von der Aufgabenstellung schrittweise herzuleiten, damit das System (welches das En...")
 
Line 11: Line 11:
 
! style="text-align:left;"| Fehler
 
! style="text-align:left;"| Fehler
 
|- style="vertical-align:top;"
 
|- style="vertical-align:top;"
| 1 || Eine Gleichung wird nur umgestellt. || ||
+
| 1 || Eine Gleichung wird nur umgestellt.
 +
| [[File:Regel01.png|x50px]] || [[File:Fehler01.png|x50px]]
 
|-
 
|-
| 2 || Eine Gleichung wird mit einer Konstanten multipliziert, und evtl. werden noch Terme auf beiden Seiten addiert. | ||
+
| 2 || Eine Gleichung wird mit einer Konstanten multipliziert, und evtl. werden noch Terme auf beiden Seiten addiert.
 +
| [[File:Regel02.png|x80px]] || [[File:Fehler02.png|x66px]]
 
|-
 
|-
 
| 3 || Eine Gleichung wird mit einem Term multipliziert, der (evtl.) Null sein kann.
 
| 3 || Eine Gleichung wird mit einem Term multipliziert, der (evtl.) Null sein kann.
| ||
+
| [[File:Regel03.png|x75px]]<br />
 +
Der Term (1+x^2) kann nicht Null sein, daher ist dies eine Äquivalenzumformung.<br />
 +
[[File:Regel03b.png|x75px]]<br />
 +
Da 1-x^2 Null sein kann, ist dies nur eine Implikation.
 +
| [[File:Fehler03.png|x75px]]<br />
 +
Der Term (1-x^2) kann Null sein, daher ist dies keine Äquivalenzumformung.
 
|-
 
|-
 
| 4 || Eine Gleichung wird durch einen Term geteilt, der nie Null sein kann.
 
| 4 || Eine Gleichung wird durch einen Term geteilt, der nie Null sein kann.
| ||
+
| [[File:Regel04.png|x80px]] || [[File:Fehler04.png|x66px]]
 
|-
 
|-
 
| 5 || Es wird eine Funktion auf beide Seiten angewendet (quadrieren, Wurzel, Exponentialfunktion, Logarithmus, trigonometrische Funktionen, ...).
 
| 5 || Es wird eine Funktion auf beide Seiten angewendet (quadrieren, Wurzel, Exponentialfunktion, Logarithmus, trigonometrische Funktionen, ...).
| ||
+
| [[File:Regel05.png|x80px]] || [[File:Fehler05.png|x66px]]
 
|-
 
|-
 
| 6 || Nullstellen werden faktorisiert.
 
| 6 || Nullstellen werden faktorisiert.
| ||
+
| [[File:Regel06.png|x80px]] || [[File:Fehler06.png|x66px]]
 
|-
 
|-
 
| 7 || Beträge können aufgelöst werden:<br />
 
| 7 || Beträge können aufgelöst werden:<br />
Line 31: Line 38:
 
&lt;=&gt; f(x) = -g(x) v f(x) = g(x),<br />
 
&lt;=&gt; f(x) = -g(x) v f(x) = g(x),<br />
 
falls g(x) immer größer oder gleich Null ist.
 
falls g(x) immer größer oder gleich Null ist.
| ||
+
| [[File:Regel07.png|x80px]] || [[File:Fehler07.png|x66px]]
 
|-
 
|-
 
| 8 || Quadratische Gleichungen können aufgelöst werden:<br />
 
| 8 || Quadratische Gleichungen können aufgelöst werden:<br />
Line 37: Line 44:
 
&lt;=&gt; f(x) = -sqrt(g(x)) v f(x) = sqrt(g(x)),<br />
 
&lt;=&gt; f(x) = -sqrt(g(x)) v f(x) = sqrt(g(x)),<br />
 
falls g(x) immer größer oder gleich Null ist.
 
falls g(x) immer größer oder gleich Null ist.
| ||
+
| [[File:Regel08.png|x80px]] || [[File:Fehler08.png|x66px]]
 
|-
 
|-
 
| 9 || Ansatzweise wird auch die pq-Formel erkannt.
 
| 9 || Ansatzweise wird auch die pq-Formel erkannt.
| ||
+
| [[File:Regel09.png|x80px]] || [[File:Fehler09.png|x66px]]
 
|-
 
|-
  
            <td><img src="https://elearning.hs-ruhrwest.de/draftfile.php/71500/user/draft/135888484/Screenshot%202021-10-12%20at%2016.01.55.png" alt="" width="200" height="51" role="presentation" class="img-responsive atto_image_button_text-bottom"></td>
 
            <td><img src="https://elearning.hs-ruhrwest.de/draftfile.php/71500/user/draft/135888484/Screenshot%202021-10-12%20at%2016.02.43.png" alt="" width="200" height="50" role="presentation" class="img-responsive atto_image_button_text-bottom"></td>
 
        </tr>
 
        <tr>
 
            <td></td>
 
            <td><img src="https://elearning.hs-ruhrwest.de/draftfile.php/71500/user/draft/135888484/Screenshot%202021-10-12%20at%2016.04.52.png" alt="" width="200" height="79" role="presentation"></td>
 
            <td><img src="https://elearning.hs-ruhrwest.de/draftfile.php/71500/user/draft/135888484/Screenshot%202021-10-12%20at%2016.05.26.png" alt="" width="200" height="66" role="presentation" class="img-responsive atto_image_button_text-bottom"></td>
 
        </tr>
 
        <tr>
 
            <td></td>
 
            <td><img src="https://elearning.hs-ruhrwest.de/draftfile.php/71500/user/draft/135888484/Screenshot%202021-10-12%20at%2016.09.04.png" alt="" width="320" height="75" role="presentation" class="img-responsive atto_image_button_text-bottom"><br>Der
 
                Term (1+x^2) kann nicht Null sein, daher ist dies eine Äquivalenzumformung.<br><img src="https://elearning.hs-ruhrwest.de/draftfile.php/71500/user/draft/135888484/Screenshot%202021-10-12%20at%2016.12.18.png" alt="" width="320" height="306"
 
                    role="presentation" class="img-responsive atto_image_button_text-bottom"><br>Da 1-x^2 Null sein kann, ist dies nur eine Implikation.</td>
 
            <td><img src="https://elearning.hs-ruhrwest.de/draftfile.php/71500/user/draft/135888484/Screenshot%202021-10-12%20at%2016.10.10.png" alt="" width="320" height="286" role="presentation" class="img-responsive atto_image_button_text-bottom"><br>Der
 
                Term (1-x^2) kann Null sein, daher ist dies keine Äquivalenzumformung.<br><br></td>
 
 
         </tr>
 
         </tr>
 
         <tr>
 
         <tr>

Revision as of 00:08, 19 January 2023

Bei Herleitungsaufgaben (nur im 2D-Format) besteht das Ziel darin, die Lösung ausgehend von der Aufgabenstellung schrittweise herzuleiten, damit das System (welches das Endergebnis übrigens nicht kennt) Ihnen folgen kann und am Ende Ihr Ergebnis akzeptiert.

Hierzu müssen Sie zunächst mit einer bekannten Aussage (aus der Aufgabenstellung) starten. Nun können Sie die gegebene Gleichung oder Ungleichung solange umformen, bis Sie zu einem Endergebnis gelangt sind. Wichtig ist dabei, dass das System erkennen kann, wie zwei aufeinanderfolgende (Un)Gleichungen miteinander in Verbindung stehen. Dies wird durch das Äquivalenzzeichen <=> oder den Folgepfeil => angezeigt. Fehlt diese Verknüpfung, so wird angenommen, dass es sich um eine bereits bekannte Aussage handelt, und die Aufgabenstellung wird danach durchsucht. Wird nichts gefunden, wertet das System die Zeile als Fehler und zeigt dies entsprechend an. Aus technischen Gründen (auch in Bezug auf Rückmeldungen) kann pro Zeile immer nur eine Gleichung stehen.

Das System erkennt derzeit (Januar 2023) die folgenden Umformungen:

</tbody>
Regel Beschreibung Beispiel Fehler
1 Eine Gleichung wird nur umgestellt. Regel01.png Fehler01.png
2 Eine Gleichung wird mit einer Konstanten multipliziert, und evtl. werden noch Terme auf beiden Seiten addiert. Regel02.png Fehler02.png
3 Eine Gleichung wird mit einem Term multipliziert, der (evtl.) Null sein kann. Regel03.png

Der Term (1+x^2) kann nicht Null sein, daher ist dies eine Äquivalenzumformung.
Regel03b.png
Da 1-x^2 Null sein kann, ist dies nur eine Implikation.

Fehler03.png

Der Term (1-x^2) kann Null sein, daher ist dies keine Äquivalenzumformung.

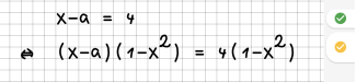
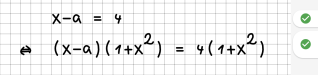
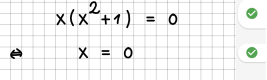
4 Eine Gleichung wird durch einen Term geteilt, der nie Null sein kann. Regel04.png Fehler04.png
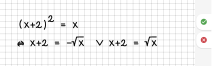
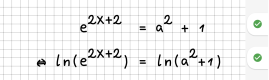
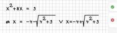
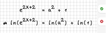
5 Es wird eine Funktion auf beide Seiten angewendet (quadrieren, Wurzel, Exponentialfunktion, Logarithmus, trigonometrische Funktionen, ...). Regel05.png Fehler05.png
6 Nullstellen werden faktorisiert. Regel06.png Fehler06.png
7 Beträge können aufgelöst werden:

&vbar;f(x)&vbar; = g(x)
<=> f(x) = -g(x) v f(x) = g(x),
falls g(x) immer größer oder gleich Null ist.

Regel07.png Fehler07.png
8 Quadratische Gleichungen können aufgelöst werden:

f(x)^2 = g(x)
<=> f(x) = -sqrt(g(x)) v f(x) = sqrt(g(x)),
falls g(x) immer größer oder gleich Null ist.

Regel08.png Fehler08.png
9 Ansatzweise wird auch die pq-Formel erkannt. Regel09.png Fehler09.png
<img src="https://elearning.hs-ruhrwest.de/draftfile.php/71500/user/draft/135888484/Screenshot%202021-10-12%20at%2016.17.16.png" alt="" width="200" height="286" role="presentation" class="img-responsive atto_image_button_text-bottom">
Der Term x^2 +1 kann niemals Null sein, daher können wir die Gleichung dadurch teilen.
<img src="https://elearning.hs-ruhrwest.de/draftfile.php/71500/user/draft/135888484/Screenshot%202021-10-12%20at%2016.15.30.png" alt="" width="240" height="98" role="presentation" class="img-responsive atto_image_button_text-bottom">
Hier wird durch einen Term geteilt, der Null sein kann. Daher ist dies auch keine Implikation mehr; wir verlieren hier mögliche Lösungen.
5 <img src="https://elearning.hs-ruhrwest.de/draftfile.php/71500/user/draft/135888484/Screenshot%202021-10-12%20at%2016.25.06.png" alt="" width="320" height="380" role="presentation" class="img-responsive atto_image_button_text-bottom"> <img src="https://elearning.hs-ruhrwest.de/draftfile.php/71500/user/draft/135888484/Screenshot%202021-10-12%20at%2016.25.37.png" alt="" width="320" height="416" role="presentation" class="img-responsive atto_image_button_text-bottom">
Die Funktion wird immer auf die komplette rechte und linke Seite angewendet, nicht auf einzelne Summanden!
6 <img src="https://elearning.hs-ruhrwest.de/draftfile.php/71500/user/draft/135888484/Screenshot%202021-10-12%20at%2016.27.22.png" alt="" width="320" height="316" role="presentation" class="img-responsive atto_image_button_text-bottom"> <img src="https://elearning.hs-ruhrwest.de/draftfile.php/71500/user/draft/135888484/Screenshot%202021-10-12%20at%2016.27.54.png" alt="" width="320" height="256" role="presentation" class="img-responsive atto_image_button_text-bottom">
Hier wurde eine Nullstelle verloren.
7 <img src="https://elearning.hs-ruhrwest.de/draftfile.php/71500/user/draft/135888484/Screenshot%202021-10-12%20at%2016.30.11.png" alt="" width="320" height="67" role="presentation" class="img-responsive atto_image_button_text-bottom"> <img src="https://elearning.hs-ruhrwest.de/draftfile.php/71500/user/draft/135888484/Screenshot%202021-10-12%20at%2016.30.57.png" alt="" width="240" height="62" role="presentation" class="img-responsive atto_image_button_text-bottom">
x kann auch negativ sein.
8 <img src="https://elearning.hs-ruhrwest.de/draftfile.php/71500/user/draft/135888484/Screenshot%202021-10-12%20at%2016.41.18.png" alt="" width="240" height="54" role="presentation" class="img-responsive atto_image_button_text-bottom"> <img src="https://elearning.hs-ruhrwest.de/draftfile.php/71500/user/draft/135888484/Screenshot%202021-10-12%20at%2016.42.12.png" alt="" width="240" height="75" role="presentation" class="img-responsive atto_image_button_text-bottom">
Rechte Seite kann negativ sein.
9 <img src="https://elearning.hs-ruhrwest.de/draftfile.php/71500/user/draft/135888484/Screenshot%202021-10-12%20at%2016.45.29.png" alt="" width="320" height="85" role="presentation"> <img src="https://elearning.hs-ruhrwest.de/draftfile.php/71500/user/draft/135888484/Screenshot%202021-10-12%20at%2016.47.42.png" alt="" width="320" height="92" role="presentation" class="img-responsive atto_image_button_text-bottom">
Die Gleichung war noch nicht in der Form 
x^2 + px + q = 0.


Ist eine Gleichung immer erfüllt, dann hat diese den Wert "wahr", also z.B. 1 = 1 <=> wahr.
Ist eine Gleichung nie erfüllt, dann hat diese den Wert "falsch", also z.B. 1 = 0 <=> falsch.


Endergebnis

Das Endergebnis wird in der Form "LL = ..." dargestellt. Ist eine Gleichung nie lösbar, so kann dies folgendermaßen beschrieben werden:

...

<img src="https://elearning.hs-ruhrwest.de/draftfile.php/71500/user/draft/135888484/2D-Endergebnis.png" alt="" width="160" height="135" role="presentation" class="img-responsive atto_image_button_text-bottom">


Fallunterscheidungen

Fälle werden durch die Markierung "Fall: Bedingung" eingeleitet und mit Ergebnis: Bedingung abgeschlossen. Das für diesen Fall gültige Zwischenergebnis ergibt sich aus der letzten Äquivalenzumformung oder Folgerung unterhalb des Falls. Die Bedingung muss immer in expliziter Form vorliegen, d.h. nach einer Variablen aufgelöst sein.# So ist z.B. "x> 1/2" eine gültige Bedingung, "2x > 1" hingegen nicht.

Das Zwischenergebnis muss eine Bedingung bzw. Gleichung oder Ungleichung (keine Menge!) sein. Im folgenden Beispiel gibt es für den Fall, dass x > 0 ist, keine Lösung:

<img src="https://elearning.hs-ruhrwest.de/draftfile.php/71500/user/draft/135888484/2D-Fall-falsch.png" alt="" width="250" height="208" role="presentation" class="img-responsive atto_image_button_text-bottom">

Hingegen ist im nächsten Beispiel für den Fall, dass x < 0 ist, jeder Wert eine Lösung:

<img src="https://elearning.hs-ruhrwest.de/draftfile.php/71500/user/draft/135888484/2D-Fall-wahr.png" alt="" width="250" height="223" role="presentation" class="img-responsive atto_image_button_text-bottom">

Wird eine Fallunterscheidung durchgeführt, so muss am Ende ein Gesamtergebnis in der Form "LL = ..." angegeben werden.

<img src="https://elearning.hs-ruhrwest.de/draftfile.php/71500/user/draft/135888484/2D-Fall-Loesung.png" alt="" width="181" height="52" role="presentation" class="img-responsive atto_image_button_text-bottom">