Herleitungsaufgaben

Herleitungen

Bei Herleitungsaufgaben (nur im 2D-Format) besteht das Ziel darin, die Lösung ausgehend von der Aufgabenstellung schrittweise herzuleiten, damit das System (welches das Endergebnis übrigens nicht kennt) Ihnen folgen kann und am Ende Ihr Ergebnis akzeptiert.

Hierzu müssen Sie zunächst mit einer bekannten Aussage (aus der Aufgabenstellung) starten. Nun können Sie die gegebene Gleichung oder Ungleichung solange umformen, bis Sie zu einem Endergebnis gelangt sind. Wichtig ist dabei, dass das System erkennen kann, wie zwei aufeinanderfolgende (Un)Gleichungen miteinander in Verbindung stehen. Dies wird durch das Äquivalenzzeichen ⇔ oder den Folgepfeil ⇒ angezeigt. Fehlt diese Verknüpfung, so wird angenommen, dass es sich um eine bereits bekannte Aussage handelt, und die Aufgabenstellung wird danach durchsucht. Wird nichts passendes gefunden, wertet das System die Zeile als Fehler und zeigt dies entsprechend an.

Aus technischen Gründen (auch in Bezug auf Rückmeldungen) darf pro Zeile immer nur eine Gleichung stehen.

Das System erkennt mit Stand Januar 2023 die folgenden Umformungen:

Regel Beschreibung Beispiel Fehler
1 Eine Gleichung wird nur umgestellt. Regel01.png Fehler01.png
2 Eine Gleichung wird mit einer Konstanten multipliziert, und evtl. werden noch Terme auf beiden Seiten addiert. Regel02.png Fehler02.png
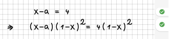
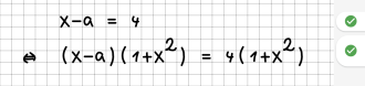
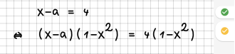
3 Eine Gleichung wird mit einem Term multipliziert, der (evtl.) Null sein kann. Regel03.png

Der Term (1+x^2) kann nicht Null sein, daher ist dies eine Äquivalenzumformung.
Regel03b.png
Da 1-x^2 Null sein kann, ist dies nur eine Implikation.

Fehler03.png

Der Term (1-x^2) kann Null sein, daher ist dies keine Äquivalenzumformung.

4 Eine Gleichung wird durch einen Term geteilt, der nie Null sein kann. Regel04.png

Der Term x^2 +1 kann niemals Null sein, daher können wir die Gleichung dadurch teilen.

Fehler04.png

Hier wird durch einen Term geteilt, der Null sein kann. Daher ist dies auch keine Implikation mehr; wir verlieren hier mögliche Lösungen.

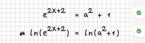
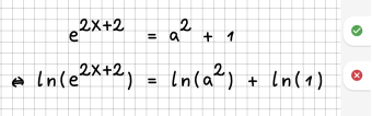
5 Es wird eine Funktion auf beide Seiten angewendet (quadrieren, Wurzel, Exponentialfunktion, Logarithmus, trigonometrische Funktionen, ...). Regel05.png Fehler05.png

Die Funktion wird immer auf die komplette rechte und linke Seite angewendet, nicht auf einzelne Summanden!

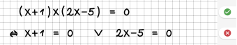
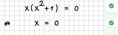
6 Nullstellen werden faktorisiert. Regel06.png Fehler06.png

Hier wurde eine Nullstelle verloren.

7 Beträge können aufgelöst werden:

&vbar;f(x)&vbar; = g(x)
<=> f(x) = -g(x) v f(x) = g(x),
falls g(x) immer größer oder gleich Null ist.

Regel07.png Fehler07.png

x kann auch negativ sein.

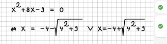
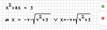
8 Quadratische Gleichungen können aufgelöst werden:

f(x)^2 = g(x)
<=> f(x) = -sqrt(g(x)) v f(x) = sqrt(g(x)),
falls g(x) immer größer oder gleich Null ist.

Regel08.png Fehler08.png

Rechte Seite kann negativ sein.

9 Ansatzweise wird auch die pq-Formel erkannt. Regel09.png Fehler09.png

Die Gleichung war noch nicht in der Form 
x^2 + px + q = 0.

Ist eine Gleichung immer erfüllt, dann hat diese den Wert wahr, also z.B. 1 = 1 <=> wahr.

Ist eine Gleichung nie erfüllt, dann hat diese den Wert falsch, also z.B. 1 = 0 <=> falsch.

→ Kapitelübersicht  → Hauptseite

Endergebnis

Das Endergebnis wird in der Form LL = ... dargestellt. Ist eine Gleichung nie lösbar, so kann dies folgendermaßen beschrieben werden:

...

Endergebnis.png

→ Kapitelübersicht  → Hauptseite

Fallunterscheidungen

Fälle werden durch die Markierung Fall: Bedingung eingeleitet und mit Ergebnis: Bedingung abgeschlossen. Das für diesen Fall gültige Zwischenergebnis ergibt sich aus der letzten Äquivalenzumformung oder Folgerung unterhalb des Falls. Die Bedingung muss immer in expliziter Form vorliegen, d.h. nach einer Variablen aufgelöst sein. So ist z.B. x > 1/2 eine gültige Bedingung, 2x > 1 hingegen nicht.

Das Zwischenergebnis muss eine Bedingung bzw. Gleichung oder Ungleichung (also keine Menge!) sein. Im folgenden Beispiel gibt es für den Fall, dass x > 0 ist, keine Lösung:

Fall-falsch.png

Hingegen ist im nächsten Beispiel für den Fall, dass x < 0 ist, jeder Wert eine Lösung:

Fall-wahr.png

Wird eine Fallunterscheidung durchgeführt, so muss am Ende ein Gesamtergebnis in der Form LL = ... angegeben werden.

Loesung.png

→ Kapitelübersicht  → Hauptseite

Erkannte Regeln

Bei Herleitungsaufgaben versucht das System versucht, den Lösungsweg nachzuvollziehen. Die dabei angewandten (hinterlegten) Regeln finden Sie auf der Seite Hinterlegte Regeln.

→ Kapitelübersicht  → Hauptseite