Zweidimensionale Eingabe

Einleitung

Beim 2D-Format erfolgt die mathematische Eingabe in einem zweidimensionalen Kästchenraster (Eingabebereich mit beliebig vielen Zeilen und Spalten, vergleichbar mit einem karierten Blatt). Potenzen, Indizes, Brüche, Wurzeln und andere mathematische Konstrukte können Sie hier wie bei Verwendung von Stift und Papier durch Ausnutzung der Rasters in zweidimensionaler Form schreiben; siehe hierzu Abschnitt Beispiele.

Es wird grundsätzlich implizite Multiplikation verwendet, d.h. ein Leerzeichen zwischen zwei Bezeichnern wirkt als Multiplikation: a*b liefert somit dasselbe Ergebnis wie a b. Ohne Leerzeichen wird der Ausdruck allerdings als eigenständiger Bezeichner ab betrachtet.

Für mathematische Bezeichner, Operatoren und Sonderzeichen sind bestimmte Zeichenfolgen zu verwenden, die nach Eingabe eines Leerzeichens oder einer Klammer interpretiert und durch das entsprechende Symbol ersetzt werden. So liefert etwa pi den griechischen Buchstaben \( \pi \). Eine vollständige Liste unterstützter Symbole ist im Abschnitt Sonderzeichen und griechische Buchstaben aufgeführt.

Mathematische Funktionen werden nach Eingabe eines Leerzeichens oder einer Klammer speziell dargestellt. Der Abschnitt Funktionen enthält die Übersicht der erkannten und unterstützten Funktionen. Im Anschluss daran finden sich weitere Informationen zu darüber hinausgehenden mathematischen Ausdrücken wie Wurzeln, Grenzwerte oder Matrizen.

Bei manchen Aufgaben ist die gesuchte Lösung die leere Menge. Diese wird durch {} dargestellt.

→ Kapitelübersicht  → Hauptseite

Beispiele

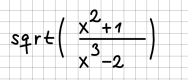
Angenommen, wir wollen den folgenden Ausdruck aufschreiben:

Bild01.png

Dies kann in der (eindimensionalen) Form sqrt( (x^2+1)/(x^3-2)) erfolgen, indem wir diese 1:1 ins Kästchenraster eintragen:

Grid01.png

Wir können aber auch ausnutzen, dass wir im 2D-Format weitere Zeilen zur Verfügung haben und somit Exponenten auch durch Höhersetzen darstellen werden können:

Grid02.png

Wir können den Bruch aber auch als Bruch schreiben:

Grid03.png

Und schließlich können wir statt sqrt auch das Wurzelzeichen verwenden:

Grid04.png

Wichtig: In jedem Kästchen kann jeweils nur ein Zeichen stehen.

Mathematischer Ausdruck 2D-Eingabe
\( (a + b)^2 \) Example01.png
\( \sin \left( \frac{\pi}{4} \right) \) Example02.png
\( a^2 + 2 a \, b + b^2 \) Example03.png
\( \frac{1}{\sqrt{1+x^2}} \) Example04.png
\( \frac{x^3}{2} \) Example05.png
\( x^{\frac{3}{2}} \) Example06.png
\( \left\{ (x,y) \in \mathbb{R}^2 : 1 \le x \le 2, -x \le y \le 1+x^2 \right\} \) Example07.png
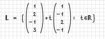
\( \mathbb{L} = \big\{ (1,2,-1,3)^T + t \; (1,-1,2,-1) : t \in \mathbb{R} \big\} \) Example08.png

Example17.png

\( 90^\circ - 30^\circ \) Example09.png
\( ( -\infty, -1) \cup [2,\infty) \) Example10.png
\( a \neq 2 \Rightarrow L = \left\{ \frac{1}{2} \right\} \) Example11.png
\( (-2,3) \cap (3,4) = \{\} \) Example12.png
\( g: \vec{x} = \vec{p} + t \vec{a}, t \in \mathbb{R} \) Example13.png
\( 2 x_1 - 4 x_2 + 5 x_3 = -7 \) Example14.png
\( \displaystyle \int \frac{1}{1+x^2} \, dx = \arctan(x) + C, C \in \mathbb{R} \) Example15.png
\( \ln(| x-1 |) \) Example16.png

→ Kapitelübersicht  → Hauptseite

Sonderzeichen und griechische Buchstaben

Bei den Sonderzeichen orientieren wir uns an der asciiMath Notation:

Special.png

Griechische Buchstaben werden ausgeschrieben. Dabei orientieren wir uns an der englischen Schreibweise:

Greek.png

→ Kapitelübersicht  → Hauptseite

Funktionen

Folgende Funktionen werden aktuell erkannt:

exp e-Funktion sin Sinus arcsin Arkussinus
ln Natürlicher Logarithmus sinh Cosinus arsinh Areasinus hyperbolicus
log Logarithmus cos Cosinus arccos Arkuscosinus
sqrt Wurzel cosh Cosinus hyperbolicus arcosh Areacosinus hyperbolicus
abs Betrag tan Tangens arctan Arkustangens
max Maximum tanh Tangens hyperbolicus artanh Areatangens hyperbolicus
min Minimum cot Cotangens arccot Arkuscotangens
det Determinante coth Cotangens hyperbolicus arcoth Areacotangens hyperbolicus
vec Vektor coth Cotangens hyperbolicus arcoth Areacotangens hyperbolicus

→ Kapitelübersicht  → Hauptseite

Brüche

Die Größe von Zeichen kann bei gedrückter Umschalttaste mit Hilfe der Pfeiltasten geändert werden. Durch die Verlängerung wird das Minuszeichen zu einem Bruchstrich:

Frac01.png

Bitte beachten Sie, dass Zähler und Nenner immer ganz oberhalb bzw. unterhalb des Striches stehen müssen!

→ Kapitelübersicht  → Hauptseite

Wurzeln

Wurzeln können in der Größe verändert werden, so dass der Radikand eingeschlossen werden kann.

Dazu werden die Pfeiltasten in Verbindung mit der Umschalt- (Shift-) Taste genutzt:

Sqrt01.png

→ Kapitelübersicht  → Hauptseite

Grenzwerte

Grenzwerte werden durch lim beschrieben. Achten Sie bitte darauf, dass der Bereich komplett unterhalb von lim steht:

Limes01.png richtig
Limes02.png falsch

→ Kapitelübersicht  → Hauptseite

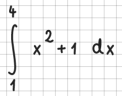
Integrale

Integrale werden durch int beschrieben. Achten Sie bei bestimmten Integralen bitte darauf, dass die untere und obere Integralgrenze jeweils direkt neben dem Integralzeichen in der untersten bzw. obersten Zeile stehen müssen, und dass zum Integranden eine Leerspalte bleibt:

Integral01.png richtig
Integral02.png richtig
Integral03.png falsch; die Integralgrenzen stehen in derselben Spalte wie das Integralzeichen
Integral04.png falsch; die Integralgrenzen stehen eine Zeile zu hoch bzw. zu tief
Integral05.png falsch; es fehlt eine Leerspalte vor dem Integranden

→ Kapitelübersicht  → Hauptseite

Summenzeichen

Das Summenzeichen wird durch sum beschrieben. Achten Sie bitte darauf, dass Start- und Endeangaben für den Summenindex komplett unterhalb bzw. oberhalb des Summenzeichens stehen; ggf. müssen Sie analog zu Wurzeln oder Bruchstrichen das Summenzeichen verbreitern:

Summe01.png richtig
Summe02.png falsch

→ Kapitelübersicht  → Hauptseite

Winkelangaben

Winkel können entweder als ^o eingegeben werden, oder in der zweidimensionalen Eingabe als Exponent o:

Winkel.png

→ Kapitelübersicht  → Hauptseite

Indexschreibweise

Um einen Index hinzuzufügen, wird dieser um ein Kästchen nach rechts und nach unten versetzt geschrieben:

Index.png

→ Kapitelübersicht  → Hauptseite

Eingabe von Matrizen

Bei der Eingabe von Matrizen sind die folgenden Punkte zu beachten:

1. Eine Matrix wird durch eine öffnende und schließende Klammer begrenzt. Die Klammer muss dabei die so groß sein, dass alle Zeilen der Matrix damit abgedeckt werden. Die Größe einer Klammer kann wieder durch die Pfeiltasten (bei gedrückter Umschalttaste) gesteuert werden.

Matrix01.png
Beispiel einer 2x2 Matrix

Matrix02.png
Beispiel einer 3x3 Matrix

2. Matrixzeilen müssen durch eine Leerzeile getrennt sein. Andernfalls würden die Elemente evtl. als Potenzen oder Indizes erkannt werden.

Matrix03.png
Zwischen den Zeilen muss immer mindestens eine leere Zeile stehen.

3. Die Elemente einer Spalte müssen untereinander stehen und durch mindestens eine leere Spalte von den anderen Spalten getrennt sein.

Matrix04.png

Beispiele:

1. Matrix05.png

Einträge sind richtig getrennt.

2. Matrix06.png

Hier fehlen die trennenden Spalten. Daher wird das Ergebnis als Vektor aufgefasst, in dem 1*2-3  bzw. -1*2*2 steht.

3. Matrix07.png

Hier fehlt eine trennende Leerzeile.

4.

Matrix08.png

Nur das, was innerhalb der Klammern steht, wird auch als Matrix erkannt.

→ Kapitelübersicht  → Hauptseite

Zeile fortsetzen

Werden am Ende einer Zeile drei Punkte geschrieben ("..."), so zeigt dies die Fortsetzung des begonnenen Ausdrucks in der Folgezeile an. Dadurch können zur besseren Übersichtlichkeit sehr lange Terme oder Gleichungen auf mehrere Zeilen aufgeteilt werden.

→ Kapitelübersicht  → Hauptseite

Kommentare

Ein Kommentar innerhalb einer Zeile wird durch die Zeichenfolge // eingeleitet. Der Text ab diesen Zeichen wird ignoriert und auch farblich anders dargestellt.

Kommentar.png

→ Kapitelübersicht  → Hauptseite

Zeile einfügen

Mit der Tastenkombination Umschalt+Eingabe (Shift+Enter) fügen Sie bei einem bestehen Rechenweg eine neue Zeile ein. Die Zeile wird unterhalb der ausgewählten Zeile hinzugefügt.

1. Kästchen auswählen:

Insert01.png

2. Mit einmaligem Shift+Enter eine Kästchenzeile unterhalb der ausgewählten Zeile eingefügen:

Insert02.png

3. Nach nochmaligem Shift+Enter:

Insert03.png

→ Kapitelübersicht  → Hauptseite

Inhalt auswählen und löschen/kopieren/verschieben

Bei gedrückter linker Maustaste kann durch Ziehen der Maus ein Bereich ausgewählt werden. Der betroffene Inhalt ist schwarz umrahmt und bläulich hinterlegt. Anstelle der Maus können Sie auf einem Tablet auch den Stift nutzen. Wenn Sie weder Maus noch Stift verwenden, können Sie den gewünschten Bereich auch mit den Pfeiltasten bei gleichzeitig gedrückter Umschalttaste markieren.

1. Oberes linkes Kästchen des zu markierenden Bereichs auswählen:

Select01.png

2. Linke Maustaste gedrückt halten und Maus/Stift nach unten rechts bewegen (oder Umschalt- und Pfeiltasten verwenden):

Select02.png

3. Tasten loslassen bzw. Stift abheben: Bereich ist markiert (im Stiftmodus: Bereich mit Rechteck einrahmen).

Select03.png

Jetzt haben Sie folgende Möglichkeiten:

  1. Über die schwarzen Anpackpunkte wird via Maus oder Stift der markierte Bereich verkleinert/vergrößert.
  2. Mit der Löschtaste (Backspace, Del) bzw. durch Antippen des roten Punkts wird der ausgewählte Inhalt gelöscht.
  3. Mit Strg+c (command-c) wird der ausgewählte Inhalt kopiert, mit Strg+x (command+x) ausgeschnitten.
  4. Anschließend werden mit den Pfeiltasten oder mit Maus/Stift das gewünschte Zielkästchen ausgewählt und mit Strg+v (command+v) der Bereich bzw. eine Kopie dort eingefügt.

Deutlich einfacher und schneller als über die Tastenkombinationen führen Sie diese Aktionen aus, indem Sie zum Verschieben das untere rechte Kästchen und zum Kopieren das obere linke Kästchen des markierten Bereichs verwenden. An diesem Kästchen ziehen Sie mit Maus oder Stift den Bereich oder ein Duplikat davon an die gewünschte Stelle. Ohne Maus und Stift verwenden Sie hierzu die Pfeiltasten, während Sie die Strg- (control-) Taste zum Verschieben oder die Alt- (option-) Taste zum Duplizieren gedrückt halten.

Die nachstehenden Abbildungen skizzieren das beschriebene Vorgehen:

1. Select04.png

Mit Maus oder Stift wurde das untere rechte Kästchen in der vorherigen Abbildung ausgewählt und bei gedrückter linker Maustaste plus Mausbewegung bzw. mittels Stift nach links gezogen. Alternativ wurden die Pfeiltasten bei gedrückter Strg- (control-) Taste verwendet.

2. Select05.png

Mit Maus oder Stift wurde das obere linke Kästchen ausgewählt und bei gedrückter linker Maustaste plus Mausbewegung bzw. mittels Stift nach unten gezogen. Alternativ wurden die Pfeiltasten bei gedrückter Alt- (option-) Taste verwendet.

→ Kapitelübersicht  → Hauptseite

undo/redo (rückgängig/wiederholen)

Die undo- und redo-Tasten befinden sich in der unteren aufklappbaren Symbolleiste:

UndoRedo2025.png
undo-/redo-Tasten hier rot umrahmt

Durch Click auf den linken Pfeil (undo) wird die letzte Eingabe rückgängig gemacht. Durch Click auf den rechten Pfeil (redo) wird die in der Eingabehistorie letzte Eingabe wieder dargestellt.

→ Kapitelübersicht  → Hauptseite